Упражнение 49 Повторение ГДЗ Мерзляк 11 класс Базовый уровень (Алгебра)
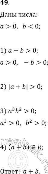
49. Числа а и b таковы, что a > 0, b 1) a-b; 2) |a+b|; 3) a^3 b^2; 4) a+b? *Цитирирование задания со ссылкой на учебник производится исключительно в учебных целях для лучшего понимания разбора решения задания.

Ниже вариант решения задания из учебника Мерзляк, Номировский, Полонский 11 класс, Просвещение:
49. Числа а и b таковы, что a > 0, b
1) a-b; 2) |a+b|; 3) a^3 b^2; 4) a+b?
