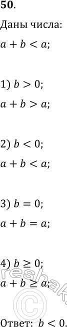
Упражнение 50 Повторение ГДЗ Мерзляк 11 класс Базовый уровень (Алгебра)
50. Числа а и b таковы, что a+b 1) b > 0; 2) b *Цитирирование задания со ссылкой на учебник производится исключительно в учебных целях для лучшего понимания разбора решения задания.
Ниже вариант решения задания из учебника Мерзляк, Номировский, Полонский 11 класс, Просвещение:
50. Числа а и b таковы, что a+b
1) b > 0; 2) b

