Упражнение 69 Повторение ГДЗ Мерзляк 11 класс Базовый уровень (Алгебра)
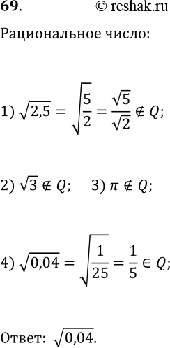
69. Какое из данных чисел является рациональным: 1) v2,5; 2) v3; 3) ?; 4) v0,04? *Цитирирование задания со ссылкой на учебник производится исключительно в учебных целях для лучшего понимания разбора решения задания.

Ниже вариант решения задания из учебника Мерзляк, Номировский, Полонский 11 класс, Просвещение:
69. Какое из данных чисел является рациональным:
1) v2,5; 2) v3; 3) ?; 4) v0,04?
