Упражнение 83 Повторение ГДЗ Мерзляк 11 класс Базовый уровень (Алгебра)
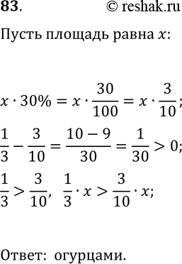
83. Огурцами засадили 1/3 огорода, а помидорами — 30%. Какими растениями, огурцами или помидорами, засадили большую площадь? *Цитирирование задания со ссылкой на учебник производится исключительно в учебных целях для лучшего понимания разбора решения задания.

Ниже вариант решения задания из учебника Мерзляк, Номировский, Полонский 11 класс, Просвещение:
83. Огурцами засадили 1/3 огорода, а помидорами — 30%. Какими растениями, огурцами или помидорами, засадили большую площадь?
