Упражнение 1.13 ГДЗ Мордкович 7 класс (Алгебра)
1.13. Составьте числовое выражение, значение которого равно -2,5, используя при этом: а) только одно действие; б) сложение и деление; в) вычитание и умножение;


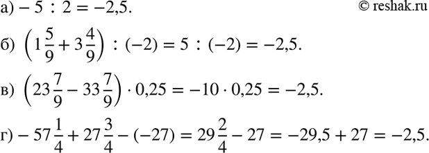
Ниже вариант решения задания из учебника Мордкович, Александрова 7 класс, Мнемозина:
1.13. Составьте числовое выражение, значение которого равно -2,5, используя при этом:
а) только одно действие;
б) сложение и деление;
в) вычитание и умножение;
г) сложение и вычитание.
