Упражнение 18.23 ГДЗ Мордкович 7 класс (Алгебра)
а) (2*1/5)2; б) (-3*1/3)3; в) (-1*2/3)4; г) (5*1/4)2.

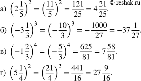
Ниже вариант решения задания из учебника Мордкович, Александрова 7 класс, Мнемозина:
а) (2*1/5)2;
б) (-3*1/3)3;
в) (-1*2/3)4;
г) (5*1/4)2.

Ниже вариант решения задания из учебника Мордкович, Александрова 7 класс, Мнемозина:
а) (2*1/5)2;
б) (-3*1/3)3;
в) (-1*2/3)4;
г) (5*1/4)2.