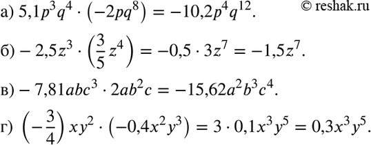
Упражнение 26.7 ГДЗ Мордкович 7 класс (Алгебра)
а) 5,1р3q4 * (-2pq3); б) -2,5z3 * (3z4/5); в) -7,81аbс3 * 2ab2c; г) (-3/4)xy2 * (-0,4x2y3).

Ниже вариант решения задания из учебника Мордкович, Александрова 7 класс, Мнемозина:
а) 5,1р3q4 * (-2pq3);
б) -2,5z3 * (3z4/5);
в) -7,81аbс3 * 2ab2c;
г) (-3/4)xy2 * (-0,4x2y3).
