Упражнение 34.15 ГДЗ Мордкович 7 класс (Алгебра)
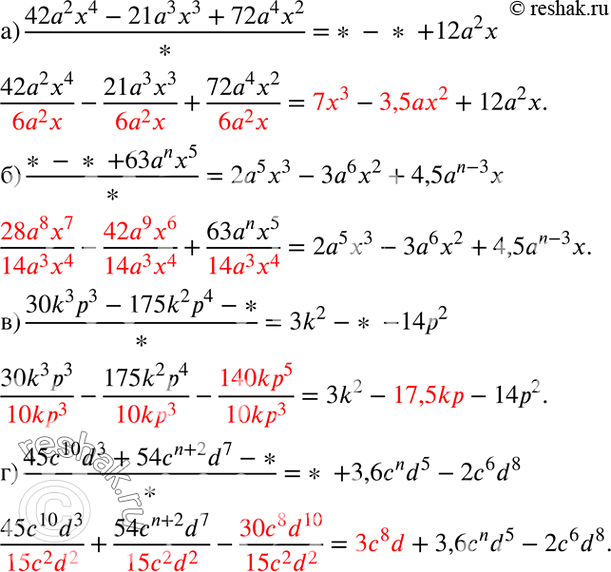
Будем делить каждое слагаемое в числителе на знаменатель по отдельности. При выполнении задания, пойдём методом «от обратного». Для того, чтобы определить неизвестный одночлен в числителе, будем умножать знаменатель на соответствующий одночлен в правой части.



Ниже вариант решения задания из учебника Мордкович, Александрова 7 класс, Мнемозина:
Будем делить каждое слагаемое в числителе на знаменатель по отдельности. При выполнении задания, пойдём методом «от обратного».
Для того, чтобы определить неизвестный одночлен в числителе, будем умножать знаменатель на соответствующий одночлен в правой части.
Для того, чтобы определить неизвестный одночлен в знаменателе, будем делить соответствующий одночлен в числителе на соответствующий одночлен в правой части выражения.
Для того, чтобы определить неизвестный одночлен в правой части, будем делить соответствующий одночлен в числителе на одночлен в знаменателе.
