Упражнение 42.6 ГДЗ Мордкович 7 класс (Алгебра)
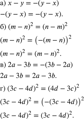
Докажите тождество: а) х - у = -(у - x); б) (m - n)2 = (n - m)2; в) 2а - 3b = -(3b - 2а);

Ниже вариант решения задания из учебника Мордкович, Александрова 7 класс, Мнемозина:
Докажите тождество:
а) х - у = -(у - x);
б) (m - n)2 = (n - m)2;
в) 2а - 3b = -(3b - 2а);
г) (3с - 4d)2 = (4d - 3с)2.
