Упражнение 46.4 ГДЗ Мордкович 7 класс (Алгебра)
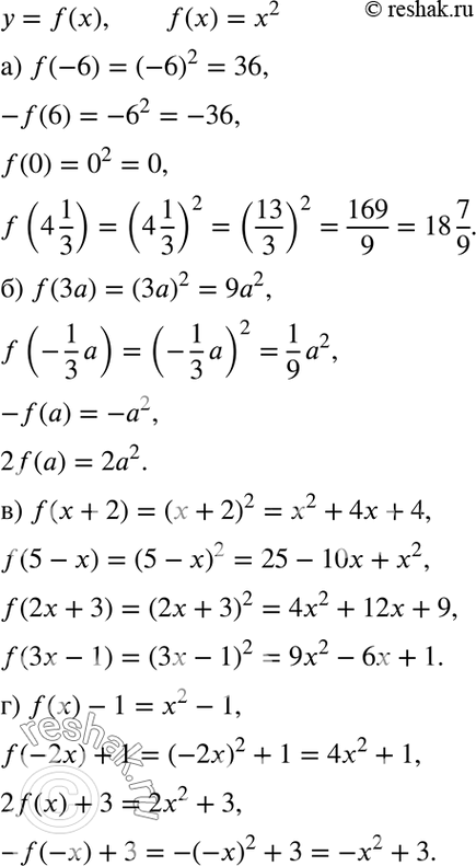
Дана функция у = f(x), где f(x) = х2. Найдите: а) f(-6), -f(6), f(0), f(4*1/3); б) f(3a), f(-1a/3), -f(a), 2f(a); в) f(x + 2), f(5 - х), f(2x + 3), f(3x - 1);

Ниже вариант решения задания из учебника Мордкович, Александрова 7 класс, Мнемозина:
Дана функция у = f(x), где f(x) = х2. Найдите:
а) f(-6), -f(6), f(0), f(4*1/3);
б) f(3a), f(-1a/3), -f(a), 2f(a);
в) f(x + 2), f(5 - х), f(2x + 3), f(3x - 1);
г) f(x) - 1, f(-2x) + 1, 2f(x) + 3, -f(-x) + 3.
