№969 ГДЗ Рымкевич 10-11 класс (Физика)
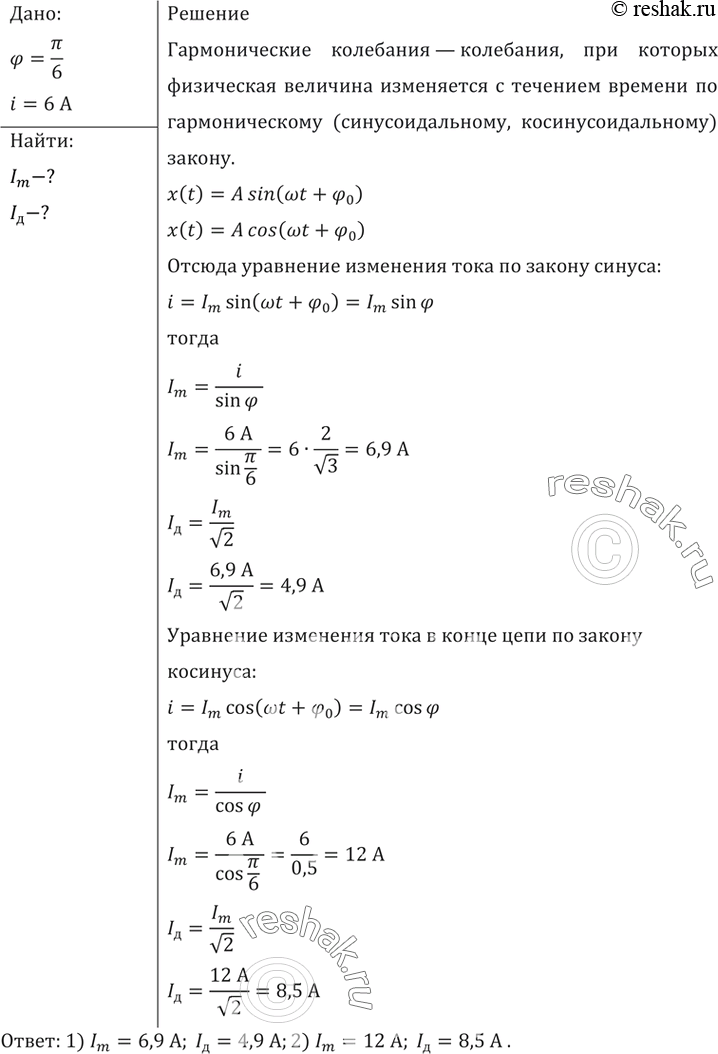
Ток в цепи меняется по гармоническому закону. Мгновенное значение силы тока для фазы n/6 равно 6А. Определить амплитудное и действующее значения силы тока.


Ниже вариант решения задания из учебника Рымкевич 10-11 класс, Дрофа:
Ток в цепи меняется по гармоническому закону. Мгновенное значение силы тока для фазы n/6 равно 6А. Определить амплитудное и действующее значения силы тока.
