Упражнение 857 ГДЗ Никольский Потапов 5 класс (Математика)
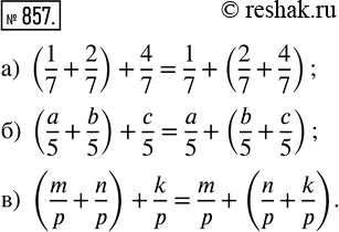
857. Запишите сочетательный закон сложения для чисел: а) 1/7, 2/7, 4/7; б) a/5, b/5, c/5; в) m/p, n/p, k/p.

Ниже вариант решения задания из учебника Никольский, Потапов, Решетников 5 класс, Просвещение:
857. Запишите сочетательный закон сложения для чисел:
а) 1/7, 2/7, 4/7; б) a/5, b/5, c/5; в) m/p, n/p, k/p.
