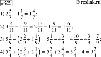
Упражнение 965 ГДЗ Ткачёва 5 класс (Математика)
965. Вычислить: 1) 2 5/7 - 1 1/7; 2) 3 4/11 - 1 9/11; 3) 5 1/9 - (3 2/9 + 1 1/9);

Ниже вариант решения задания из учебника Ткачёва 5 класс, Просвещение:
965. Вычислить:
1) 2 5/7 - 1 1/7; 2) 3 4/11 - 1 9/11;
3) 5 1/9 - (3 2/9 + 1 1/9); 4) 5 3/4 + (2 3/4 + 1 1/4).
