Упражнение 357 ГДЗ Мерзляк Полонский 6 класс (Математика)
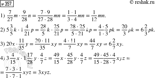
357 Упростите выражение: 1) 7/27m* 9/28n ; 2) 5*3/5k*1*4/21p ; 3) 20/x* 11/35y ; 4) 3*4/15x*1*17/28y* 4/7z.

Ниже вариант решения задания из учебника Мерзляк, Полонский, Якир 6 класс, Вентана-Граф:
357 Упростите выражение:
1) 7/27m* 9/28n ;
2) 5*3/5k*1*4/21p ;
3) 20/x* 11/35y ;
4) 3*4/15x*1*17/28y* 4/7z.
