Упражнение 736 ГДЗ Мерзляк Полонский 6 класс (Математика)
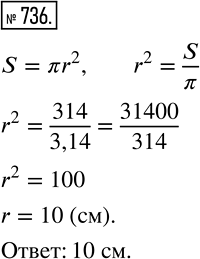
736. Найдите радиус круга, площадь которого равна 314 см2.

Ниже вариант решения задания из учебника Мерзляк, Полонский, Якир 6 класс, Вентана-Граф:
736. Найдите радиус круга, площадь которого равна 314 см2.
