Упражнение 19 ГДЗ Бунимович Кузнецова 6 класс (Математика)
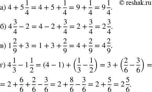
19 а) 4 + 5*1/4; б) 4*3/4 - 2; в) 1*2/9 + 3; г) 4*1/3 - 1*1/2.

Ниже вариант решения задания из учебника Бунимович, Кузнецова, Минаева 6 класс, Просвещение:
19 а) 4 + 5*1/4;
б) 4*3/4 - 2;
в) 1*2/9 + 3;
г) 4*1/3 - 1*1/2.
