Упражнение 602 ГДЗ Бунимович Кузнецова 6 класс (Математика)
602 Упростите запись: а) +(+10,1); б) +(-3,6); в) +(-3/7); г) -(+6/2); д) -(-1,4); е) -(-1/20).

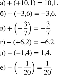
Ниже вариант решения задания из учебника Бунимович, Кузнецова, Минаева 6 класс, Просвещение:
602 Упростите запись:
а) +(+10,1);
б) +(-3,6);
в) +(-3/7);
г) -(+6/2);
д) -(-1,4);
е) -(-1/20).
