Упражнение 328 ГДЗ Ткачёва 6 класс (Математика)
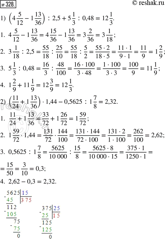
328. Выполнить действия: 1) (4 5/12 - 1 13/36) : 2,5 + 5 1/3 : 0,48; 2) (11/24 + 1 13/36) · 1,44 - 0,5625 :


Ниже вариант решения задания из учебника Ткачёва 6 класс, Просвещение:
328. Выполнить действия:
1) (4 5/12 - 1 13/36) : 2,5 + 5 1/3 : 0,48;
2) (11/24 + 1 13/36) · 1,44 - 0,5625 : 1 7/8;
3) (1,44 + 3,81) : (0,2 - 9/80) - 3 3/4 · 1,2;
4) 2,64 - (0,85 + 4/35) : 1 2/7 + 7,511 : 3,7.
