Упражнение 208 ГДЗ Колягин Ткачёва 7 класс (Алгебра)
208. Найти числовое значение одночлена: 1) 0,5b^2 при b=-4; 2) 3abc при a=2,b=1/2,c=1/3.

Ниже вариант решения задания из учебника Колягин, Ткачёва, Фёдорова 7 класс, Просвещение:
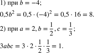
208. Найти числовое значение одночлена:
1) 0,5b^2 при b=-4;
2) 3abc при a=2,b=1/2,c=1/3.
