Упражнение 336 ГДЗ Колягин Ткачёва 7 класс (Алгебра)
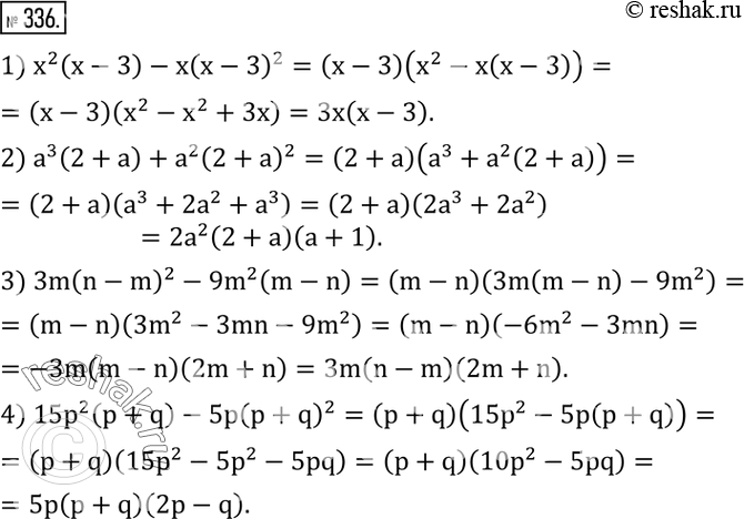
336. Разложить на множители: 1) x^2 (x-3)-x(x-3)^2; 2) a^3 (2+a)+a^2 (2+a)^2; 3) 3m(n-m)^2-9m^2 (m-n); 4) 15p^2 (p+q)-5p(p+q)^2.

Ниже вариант решения задания из учебника Колягин, Ткачёва, Фёдорова 7 класс, Просвещение:
336. Разложить на множители:
1) x^2 (x-3)-x(x-3)^2;
2) a^3 (2+a)+a^2 (2+a)^2;
3) 3m(n-m)^2-9m^2 (m-n);
4) 15p^2 (p+q)-5p(p+q)^2.
