Упражнение 47 ГДЗ Колягин Ткачёва 7 класс (Алгебра)
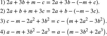
47. Заключить в скобки все слагаемые, начиная с числа m или (-m), поставив перед скобками знак «-»: 1) 2a+3b+m-c; 2) 2a+b+m+3c;

Ниже вариант решения задания из учебника Колягин, Ткачёва, Фёдорова 7 класс, Просвещение:
47. Заключить в скобки все слагаемые, начиная с числа m или (-m), поставив перед скобками знак «-»:
1) 2a+3b+m-c;
2) 2a+b+m+3c;
3) c-m-2a^2+3b^2;
4) a-m+3b^2-2a^3.
