Упражнение 640 ГДЗ Колягин Ткачёва 7 класс (Алгебра)
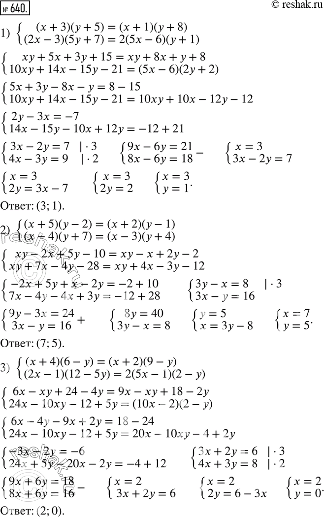
640. Способом алгебраического сложения решить систему уравнений: 1) {((x+3)(y+5)=(x+1)(y+8) (2x-3)(5y+7)=2(5x-6)(y+1) )+ 2) {((x+5)(y-2)=(x+2)(y-1) (x-4)(y+7)=(x-3)(y+4) )+ 3) {((x+4)(6-y)=(x+2)(9-y) (2x-1)(12-5y)=2(5x-1)(2-y)

Ниже вариант решения задания из учебника Колягин, Ткачёва, Фёдорова 7 класс, Просвещение:
640. Способом алгебраического сложения решить систему уравнений:
1) {((x+3)(y+5)=(x+1)(y+8)
(2x-3)(5y+7)=2(5x-6)(y+1) )+
2) {((x+5)(y-2)=(x+2)(y-1)
(x-4)(y+7)=(x-3)(y+4) )+
3) {((x+4)(6-y)=(x+2)(9-y)
(2x-1)(12-5y)=2(5x-1)(2-y) )+
