Упражнение 286 ГДЗ Мерзляк 8 класс (Алгебра)
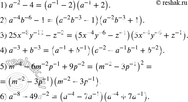
286. Представьте в виде произведения выражение: 1) a^-2 - 4; 2) a^-4 b^-6 - 1; 3) 25x^-8 y^-12 - z^-2; 4) a^-3 + b^-3;



Ниже вариант решения задания из учебника Мерзляк, Полонская, Якир 8 класс, Вентана-Граф:
286. Представьте в виде произведения выражение:
1) a^-2 - 4;
2) a^-4 b^-6 - 1;
3) 25x^-8 y^-12 - z^-2;
4) a^-3 + b^-3;
5) m^-4 - 6m^-2 p^-1 + 9p^-2;
6) a^-3 - 49a^-2.
