Упражнение 337 ГДЗ Мерзляк 8 класс (Алгебра)
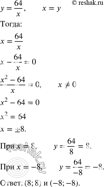
337. Найдите координаты всех точек графика функции у = 64/x, у которых абсцисса и ордината равны.



Ниже вариант решения задания из учебника Мерзляк, Полонская, Якир 8 класс, Вентана-Граф:
337. Найдите координаты всех точек графика функции у = 64/x, у которых абсцисса и ордината равны.
