Упражнение 379 ГДЗ Мерзляк 8 класс (Алгебра)
379. Найдите значение арифметического квадратного корня: 1) корень 9; 2) корень 49; 3) корень 100; 4) корень 225; 5) корень 0,25;



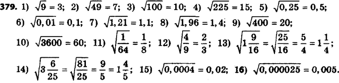
Ниже вариант решения задания из учебника Мерзляк, Полонская, Якир 8 класс, Вентана-Граф:
379. Найдите значение арифметического квадратного корня:
1) корень 9;
2) корень 49;
3) корень 100;
4) корень 225;
5) корень 0,25;
6) корень 0,01;
7) корень 1,21;
8) корень 1,96;
9) корень 400;
10) корень 3600;
11) корень 1/64;
12) корень 4/9;
13) корень (1 9/16);
14) корень (3 6/25);
15) корень 0,0004;
16) корень 0,000025.
