Упражнение 531 ГДЗ Мерзляк 8 класс (Алгебра)
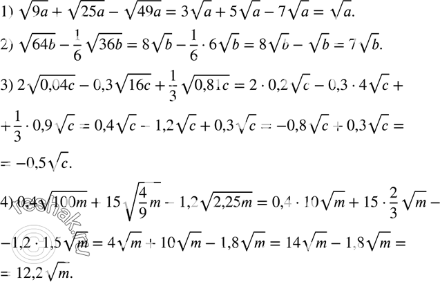
531. Упростите выражение: 1) корень 9a +корень 25а - корень 49а; 2) корень 64b - 1/6 корень 36b; 3) 2 корень 0,04с - 0,3 корень 16с + 1/3 корень 0,81с;



Ниже вариант решения задания из учебника Мерзляк, Полонская, Якир 8 класс, Вентана-Граф:
531. Упростите выражение:
1) корень 9a +корень 25а - корень 49а;
2) корень 64b - 1/6 корень 36b;
3) 2 корень 0,04с - 0,3 корень 16с + 1/3 корень 0,81с;
4) 0,4 корень 100m + 15 корень (2/9 m) - 1,2 корень 2,25m.
