Упражнение 544 ГДЗ Мерзляк 8 класс (Алгебра)
544. Разложите на множители выражение: 1) а2 - 3; 2) 4b2 - 2; 3) 5 - 6с2; 4) а - 9, если а >= 0;



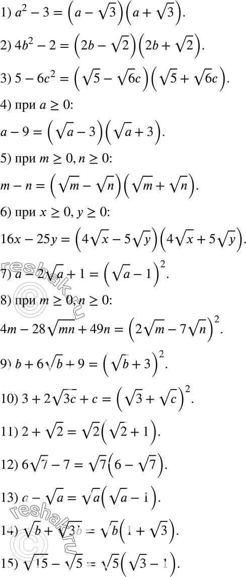
Ниже вариант решения задания из учебника Мерзляк, Полонская, Якир 8 класс, Вентана-Граф:
544. Разложите на множители выражение:
1) а2 - 3;
2) 4b2 - 2;
3) 5 - 6с2;
4) а - 9, если а >= 0;
5) m - n, если m >= 0, n >=0;
6) 16x - 25у, если х >= 0, у >= 0;
7) а - 2 корень а + 1;
8) 4m - 28 корень mn + 49n, если m >= 0 , n >= 0;
9) b + 6 корень b + 9;
10) 3 + 2 корень 3с + c;
11) 2 + корень 2;
12) 6 корень 7 - 7;
13) а - корень a;
14) корень b + корень 3b;
15) корень 15 - корень 5.
