Упражнение 72 ГДЗ Мерзляк 8 класс (Алгебра)
72. Выполните действия: 1) (a+b)/(c-7) + a/(7-c); 2) 5m/(m-n) + 5n/(n-m); 3) (2x-4y)/(x-3y) - (4x-14y)/(3y-x);




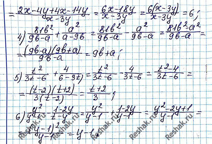
Ниже вариант решения задания из учебника Мерзляк, Полонская, Якир 8 класс, Вентана-Граф:
72. Выполните действия:
1) (a+b)/(c-7) + a/(7-c);
2) 5m/(m-n) + 5n/(n-m);
3) (2x-4y)/(x-3y) - (4x-14y)/(3y-x);
