Упражнение 780 ГДЗ Мерзляк 8 класс (Алгебра)
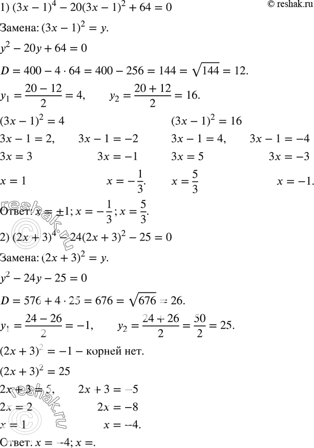
780. Решите уравнение: 1) (Зx - 1)4 - 20(Зx - 1)2 + 64 = 0; 2) (2x + З)4 - 24(2x + З)2 - 25 = 0.





Ниже вариант решения задания из учебника Мерзляк, Полонская, Якир 8 класс, Вентана-Граф:
780. Решите уравнение:
1) (Зx - 1)4 - 20(Зx - 1)2 + 64 = 0;
2) (2x + З)4 - 24(2x + З)2 - 25 = 0.
