Упражнение 787 ГДЗ Мерзляк 8 класс (Алгебра)
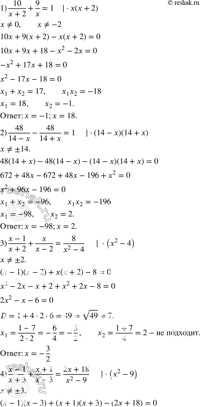
787. Найдите корни уравнения: 1) 10/(x+2) + 9/x = 1; 2) 48/(14-x) - 48/(14+x) = 1;







Ниже вариант решения задания из учебника Мерзляк, Полонская, Якир 8 класс, Вентана-Граф:
787. Найдите корни уравнения:
1) 10/(x+2) + 9/x = 1;
2) 48/(14-x) - 48/(14+x) = 1;
