Упражнение 126 ГДЗ Макарычев Миндюк 8 класс (Алгебра)
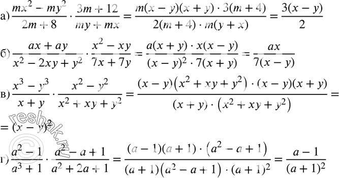
126. Представьте в виде дроби:



Ниже вариант решения задания из учебника Макарычев, Миндюк, Нешков 8 класс, Просвещение:
126. Представьте в виде дроби:



Ниже вариант решения задания из учебника Макарычев, Миндюк, Нешков 8 класс, Просвещение:
126. Представьте в виде дроби: