Упражнение 212 ГДЗ Макарычев Миндюк 8 класс (Алгебра)
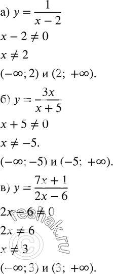
212. Укажите область определения функции:



Ниже вариант решения задания из учебника Макарычев, Миндюк, Нешков 8 класс, Просвещение:
212. Укажите область определения функции:



Ниже вариант решения задания из учебника Макарычев, Миндюк, Нешков 8 класс, Просвещение:
212. Укажите область определения функции: