Упражнение 232 ГДЗ Макарычев Миндюк 8 класс (Алгебра)
232. Докажите, что тождественно равны выражения



Ниже вариант решения задания из учебника Макарычев, Миндюк, Нешков 8 класс, Просвещение:
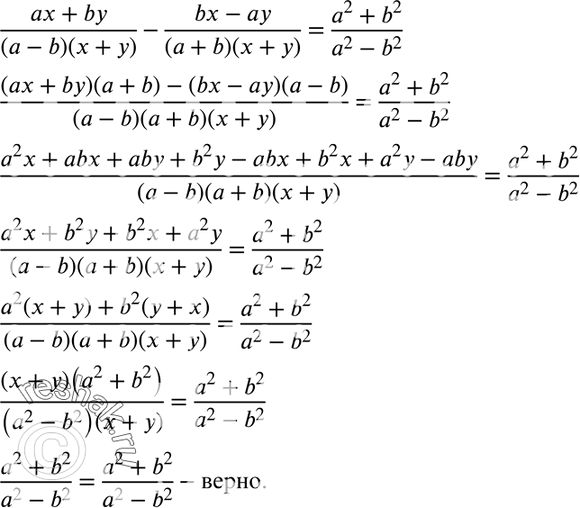
232. Докажите, что тождественно равны выражения



Ниже вариант решения задания из учебника Макарычев, Миндюк, Нешков 8 класс, Просвещение:
232. Докажите, что тождественно равны выражения