Упражнение 40 ГДЗ Макарычев Миндюк 8 класс (Алгебра)
40 Сократите дробь:


Ниже вариант решения задания из учебника Макарычев, Миндюк, Нешков 8 класс, Просвещение:
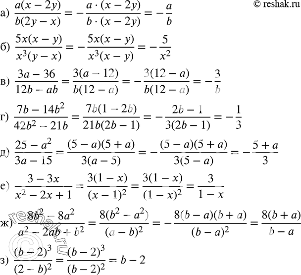
40 Сократите дробь:


Ниже вариант решения задания из учебника Макарычев, Миндюк, Нешков 8 класс, Просвещение:
40 Сократите дробь: