Упражнение 401 ГДЗ Макарычев Миндюк 8 класс (Алгебра)
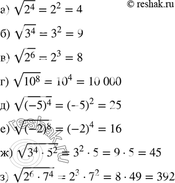
401. Найдите значение корня: a) корень 2^4; б) корень 3^4; в) корень 2^6 г) корень 10^8; д) корень (-5)4; е) корень (-2)8;


Ниже вариант решения задания из учебника Макарычев, Миндюк, Нешков 8 класс, Просвещение:
401. Найдите значение корня:
a) корень 2^4;
б) корень 3^4;
в) корень 2^6
г) корень 10^8;
д) корень (-5)4;
е) корень (-2)8;
ж) корень (3^4* 5^2);
з) корень (2^6*7^4).
