Упражнение 445 ГДЗ Макарычев Миндюк 8 класс (Алгебра)
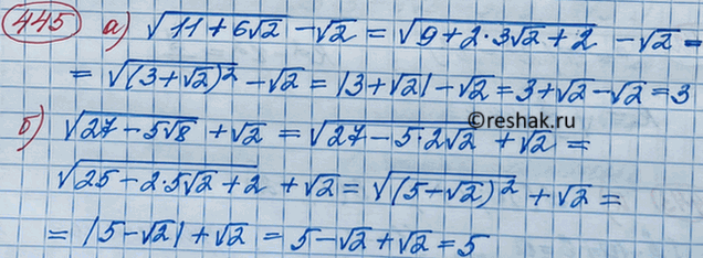
445. Найдите значение выражения: а) корень (11+6 корень 2) - корень 2; б) корень (27-5 корень 8) + корень 2.


Ниже вариант решения задания из учебника Макарычев, Миндюк, Нешков 8 класс, Просвещение:
445. Найдите значение выражения:
а) корень (11+6 корень 2) - корень 2;
б) корень (27-5 корень 8) + корень 2.
