Упражнение 16.4 ГДЗ Мерзляк Поляков 8 класс (Алгебра)
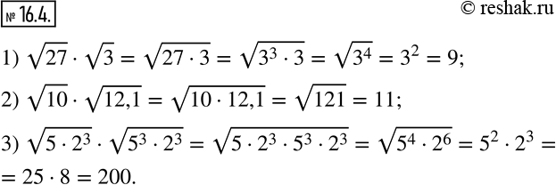
16.4. Найдите значение выражения: 1) v27•v3; 2) v10•v12,1; 3) v(5•2^3 )•v(5^3•2^3 ).

Ниже вариант решения задания из учебника Мерзляк, Поляков 8 класс, Вентана-Граф:
16.4. Найдите значение выражения:
1) v27•v3; 2) v10•v12,1; 3) v(5•2^3 )•v(5^3•2^3 ).
