Упражнение 17.8 ГДЗ Мерзляк Поляков 8 класс (Алгебра)
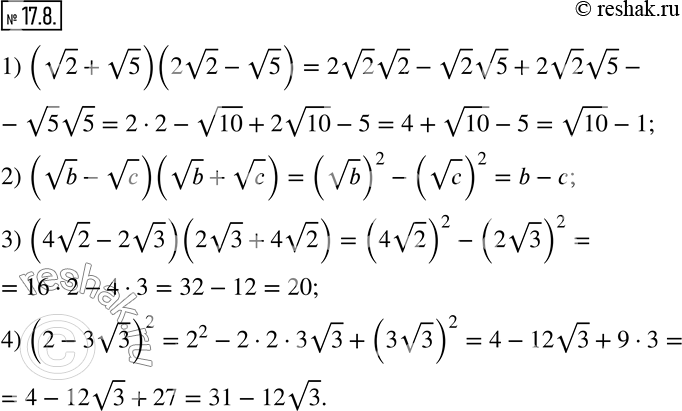
17.8. Выполните умножение: 1) (v2+v5)(2v2-v5); 2) (vb-vc)(vb+vc); 3) (4v2-2v3)(2v3+4v2); 4) (2-3v3)^2.

Ниже вариант решения задания из учебника Мерзляк, Поляков 8 класс, Вентана-Граф:
17.8. Выполните умножение:
1) (v2+v5)(2v2-v5);
2) (vb-vc)(vb+vc);
3) (4v2-2v3)(2v3+4v2);
4) (2-3v3)^2.
