Упражнение 7.2 ГДЗ Мордкович Семенов 8 класс (Алгебра)
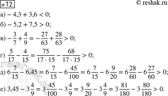
7.2. Сравните с нулём значение числового выражения: а) -4,3 + 3,6; в) -3/7 + 4/9; д) 6 7/15 - 6,45; б) -5,2 + 7,5;

Ниже вариант решения задания из учебника Мордкович, Семенов, Александрова 8 класс, Бином:
7.2. Сравните с нулём значение числового выражения:
а) -4,3 + 3,6; в) -3/7 + 4/9; д) 6 7/15 - 6,45;
б) -5,2 + 7,5; г) 5/17 - 4/15; е) 3,45 - 3 4/9.
