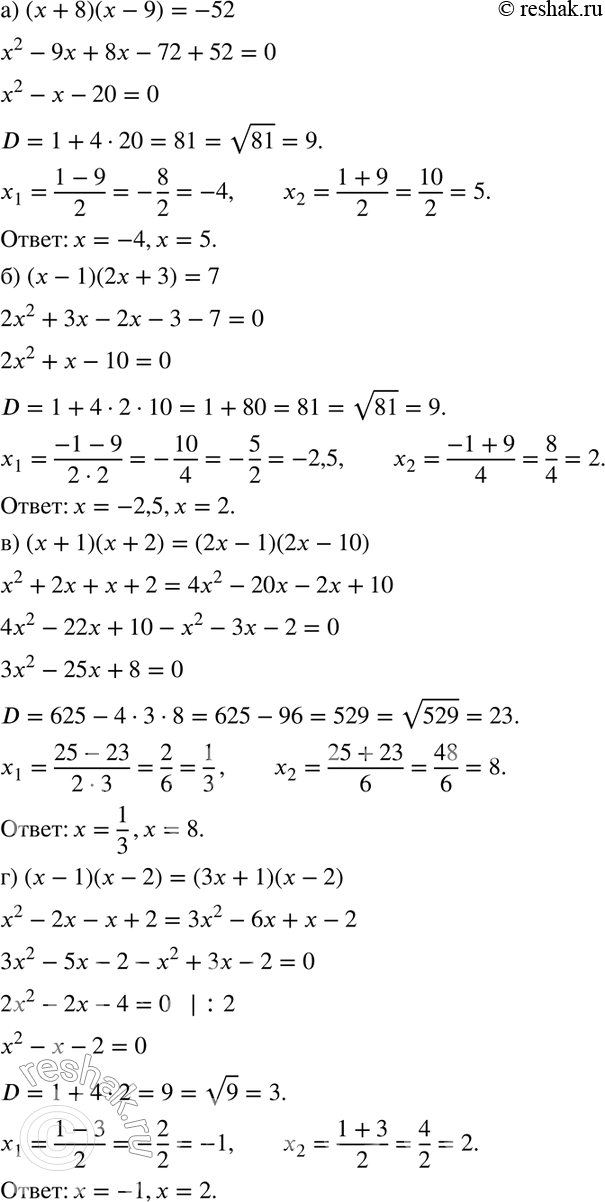
Упражнение 243 ГДЗ Никольский Потапов 8 класс (Алгебра)
243. а) (х + 8)(х - 9) = -52; б) (х - 1)(2х + 3) = 7; в) (х + 1)(х + 2) = (2х - 1)(2х - 10);



Ниже вариант решения задания из учебника Никольский, Потапов 8 класс, Просвещение:
243. а) (х + 8)(х - 9) = -52;
б) (х - 1)(2х + 3) = 7;
в) (х + 1)(х + 2) = (2х - 1)(2х - 10);
г) (х - 1)(х - 2) = (3х + 1)(х - 2);
д)
е)
ж)
з)
