☰ Меню
4 класс
5 класс
6 класс
7 класс
8 класс
9 класс
10 класс
11 класс
4 класс
Математика
Окружающий мир
Русский язык
Английский
Литературное чтение
5 класс
Биология
Математика
Русский язык
География
История
Информатика
Английский
Обществознание
Литература
6 класс
Биология
Математика
Обществознание
Русский язык
География
История
Информатика
Английский
Литература
7 класс
Алгебра
Биология
Химия
Физика
Обществознание
Русский язык
География
Геометрия
История
Информатика
Английский
Литература
8 класс
Алгебра
Биология
Химия
Физика
Обществознание
Русский язык
География
Геометрия
История
Информатика
Английский
Литература
9 класс
Алгебра
Биология
Химия
Физика
Обществознание
Русский язык
География
Геометрия
История
Информатика
Английский
Литература
10 класс
Алгебра
Биология
Химия
Физика
Обществознание
Русский язык
География
Геометрия
История
Информатика
Английский
Литература
11 класс
Алгебра
Биология
Химия
Физика
Обществознание
Русский язык
География
Геометрия
История
Информатика
Английский
Литература
Упражнение 340 ГДЗ Никольский Потапов 8 класс (Алгебра)
340
Перейти к тексту задания
← Предыдущее задание 339
Решебник Никольский Алгебра
Следующее задание 341 →
← Предыдущий ответ 339
Решебник Никольский Алгебра
Следующий ответ 341 →
Навигация по заданиям
…
335
336
337
338
339
340
341
342
343
344
345
…
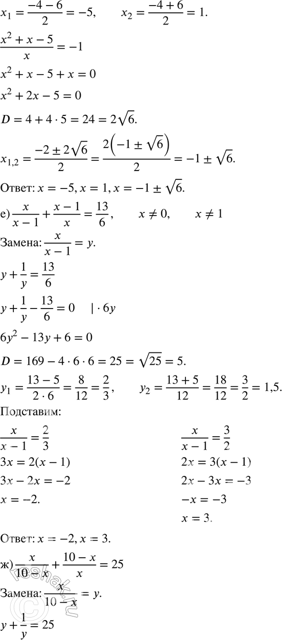
Ниже вариант решения задания из учебника Никольский, Потапов 8 класс, Просвещение:
340