☰ Меню
4 класс
5 класс
6 класс
7 класс
8 класс
9 класс
10 класс
11 класс
4 класс
Математика
Окружающий мир
Русский язык
Английский
Литературное чтение
5 класс
Биология
Математика
Русский язык
География
История
Информатика
Английский
Обществознание
Литература
6 класс
Биология
Математика
Обществознание
Русский язык
География
История
Информатика
Английский
Литература
7 класс
Алгебра
Биология
Химия
Физика
Обществознание
Русский язык
География
Геометрия
История
Информатика
Английский
Литература
8 класс
Алгебра
Биология
Химия
Физика
Обществознание
Русский язык
География
Геометрия
История
Информатика
Английский
Литература
9 класс
Алгебра
Биология
Химия
Физика
Обществознание
Русский язык
География
Геометрия
История
Информатика
Английский
Литература
10 класс
Алгебра
Биология
Химия
Физика
Обществознание
Русский язык
География
Геометрия
История
Информатика
Английский
Литература
11 класс
Алгебра
Биология
Химия
Физика
Обществознание
Русский язык
География
Геометрия
История
Информатика
Английский
Литература
Упражнение 714 ГДЗ Никольский Потапов 8 класс (Алгебра)
714
Перейти к тексту задания
← Предыдущее задание 713
Решебник Никольский Алгебра
Следующее задание 715 →
← Предыдущий ответ 713
Решебник Никольский Алгебра
Следующий ответ 715 →
Навигация по заданиям
…
709
710
711
712
713
714
715
716
717
718
719
…
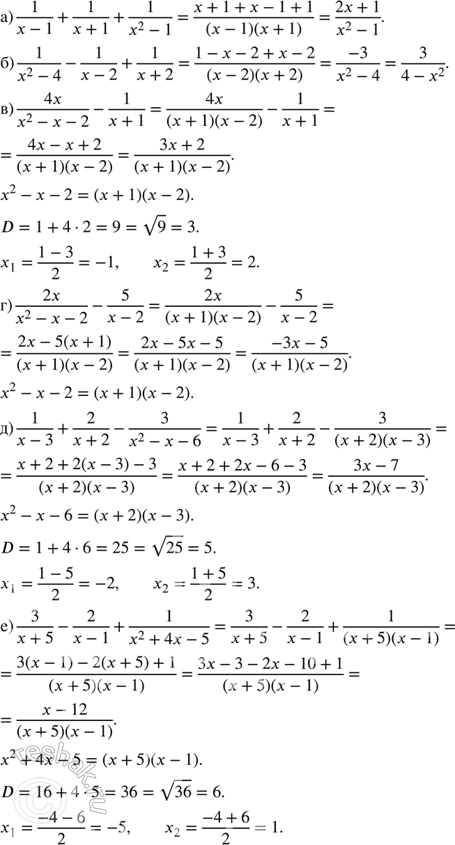
Ниже вариант решения задания из учебника Никольский, Потапов 8 класс, Просвещение:
714