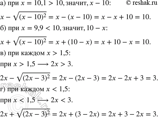
Упражнение 739 ГДЗ Никольский Потапов 8 класс (Алгебра)
Найдите значение выражения (739—741): 739. а) х - корень (x - 10)2 при х = 10,1; б) х + корень (х - 10)2 при х = 9,9;

Ниже вариант решения задания из учебника Никольский, Потапов 8 класс, Просвещение:
Найдите значение выражения (739—741):
739. а) х - корень (x - 10)2 при х = 10,1;
б) х + корень (х - 10)2 при х = 9,9;
в) 2х - корень (2х - 3)2 при каждом х > 1,5;
г) 2х + корень (2х - 3)2 при каждом х
