Упражнение 29 ГДЗ Дорофеев Суворова 8 класс (Алгебра)
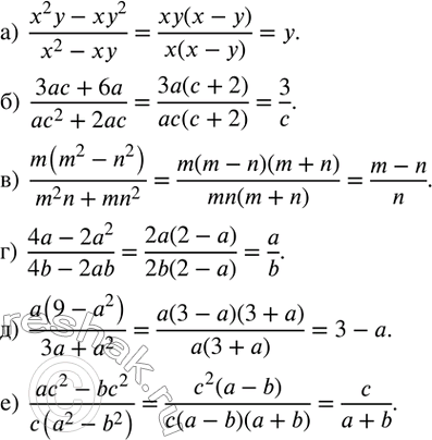
29. Сократите дробь: а) (x^2 y-xy^2)/(x^2-xy); б) (3ac+6a)/(ac^2+2ac); в) m(m^2-n^2 )/(m^2 n+mn^2 ); г) (4a-2a^2)/(4b-2ab); д) a(9-a^2 )/(3a+a^2 ); е) (ac^2-bc^2)/c(a^2-b^2 ).

Ниже вариант решения задания из учебника Дорофеев, Суворова, Бунимович 8 класс, Просвещение:
29. Сократите дробь:
а) (x^2 y-xy^2)/(x^2-xy);
б) (3ac+6a)/(ac^2+2ac);
в) m(m^2-n^2 )/(m^2 n+mn^2 );
г) (4a-2a^2)/(4b-2ab);
д) a(9-a^2 )/(3a+a^2 );
е) (ac^2-bc^2)/c(a^2-b^2 ).
