Упражнение 495 ГДЗ Дорофеев Суворова 8 класс (Алгебра)
495. Решите уравнение: а) (x+4)(x+5)=20; б) (x+5)(x-5)=24; в) 5(7-2x)=2x(x-5); г) x(3x-4)=2(5-2x); д) (x+2)^2=4(x+4); е) 4(x-1)^2=(x+2)^2; ж) (3x-1)^2=3(1-2x) з) (x+3)^2=3(x+1)^2.


Ниже вариант решения задания из учебника Дорофеев, Суворова, Бунимович 8 класс, Просвещение:
495. Решите уравнение:
а) (x+4)(x+5)=20;
б) (x+5)(x-5)=24;
в) 5(7-2x)=2x(x-5);
г) x(3x-4)=2(5-2x);
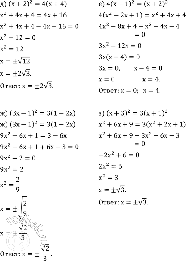
д) (x+2)^2=4(x+4);
е) 4(x-1)^2=(x+2)^2;
ж) (3x-1)^2=3(1-2x)
з) (x+3)^2=3(x+1)^2.
