Упражнение 544 ГДЗ Дорофеев Суворова 8 класс (Алгебра)
544. Сократите дробь: а) (x^3+1)/(3x^2+2x-1); б) (x^3-1)/(2x^2+x-3); в) (1-x^2)/(5x^2-4x-1); г) (2x^2-7x+3)/(x-2x^2 ); д) (5+3x-2x^2)/(1-x-2x^2 ); е) (3x^2-4x-4)/(6-x-x^2 ).


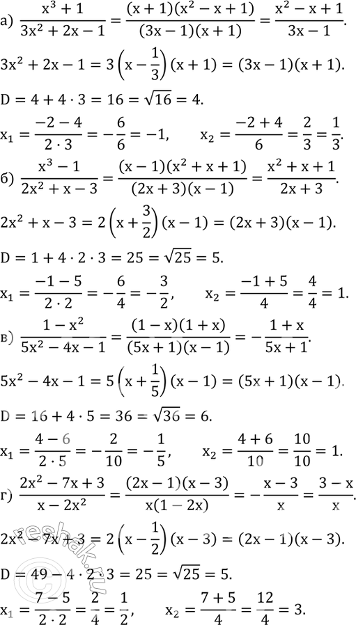
Ниже вариант решения задания из учебника Дорофеев, Суворова, Бунимович 8 класс, Просвещение:
544. Сократите дробь:
а) (x^3+1)/(3x^2+2x-1);
б) (x^3-1)/(2x^2+x-3);
в) (1-x^2)/(5x^2-4x-1);
г) (2x^2-7x+3)/(x-2x^2 );
д) (5+3x-2x^2)/(1-x-2x^2 );
е) (3x^2-4x-4)/(6-x-x^2 ).
