Упражнение 457 ГДЗ Колягин Ткачёва 8 класс (Алгебра)
457. Квадратный трехчлен разложить на множители: 1) x^2-5x+6; 2) x^2+4x-5; 3) x^2+5x-24; 4) x^2+x-42; 5) 2x^2-x-1; 6) 8x^2+10x+3; 7) -6x^2+7x-2; 8) -4x^2-7x+2.


Ниже вариант решения задания из учебника Колягин, Ткачёва, Фёдорова 8 класс, Просвещение:
457. Квадратный трехчлен разложить на множители:
1) x^2-5x+6;
2) x^2+4x-5;
3) x^2+5x-24;
4) x^2+x-42;
5) 2x^2-x-1;
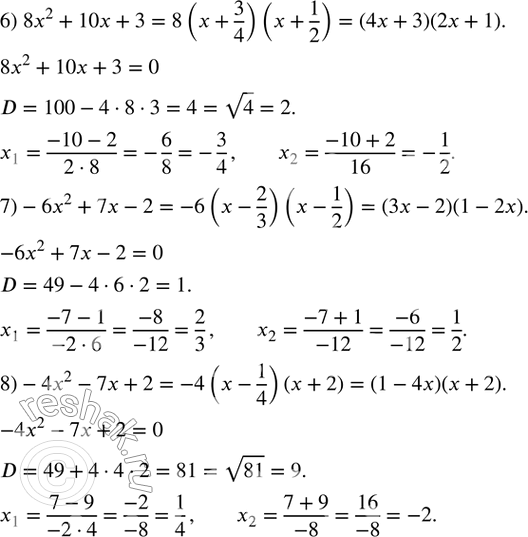
6) 8x^2+10x+3;
7) -6x^2+7x-2;
8) -4x^2-7x+2.
