Упражнение 742 ГДЗ Колягин Ткачёва 8 класс (Алгебра)
742. Решить уравнение: 1) 3/(x+2)=4+3/(x-1); 2) 1/(x+1)=3+3/(3x-1); 3) 1+5x/(x+1)=(6x+2)/(x+1)^2 ; 4) 2+x/(x+2)=(12-x)/(x+2)^2 ; 5) 3x/(x+2)+1/(x-2)=4/(x^2-4); 6) 2x/(x-3)-1/(x+3)=6/(x^2-9).



Ниже вариант решения задания из учебника Колягин, Ткачёва, Фёдорова 8 класс, Просвещение:
742. Решить уравнение:
1) 3/(x+2)=4+3/(x-1);
2) 1/(x+1)=3+3/(3x-1);
3) 1+5x/(x+1)=(6x+2)/(x+1)^2 ;
4) 2+x/(x+2)=(12-x)/(x+2)^2 ;
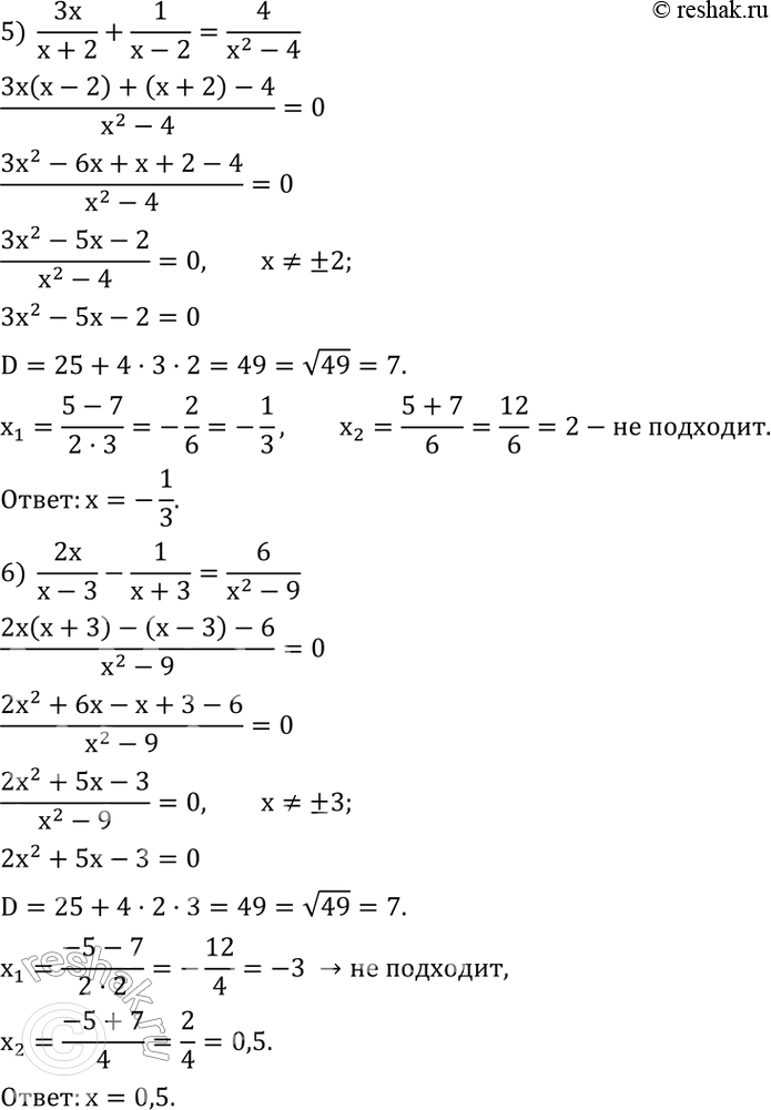
5) 3x/(x+2)+1/(x-2)=4/(x^2-4);
6) 2x/(x-3)-1/(x+3)=6/(x^2-9).
