Упражнение 433 ГДЗ Макарычев Миндюк 9 класс (Алгебра)
433. Решите систему уравнений: а) система y-2x=2, 5x2-y=1; б) система x-2y2=2, 3x+y=7; в) система x2-3y2=52, y-x=14; г) система 3x2+2y2=11, x+2y=3; д) система x2+y2=100, 3x=4y;






Ниже вариант решения задания из учебника Макарычев, Миндюк, Нешков 9 класс, Просвещение:
433. Решите систему уравнений:
а) система
y-2x=2,
5x2-y=1;
б) система
x-2y2=2,
3x+y=7;
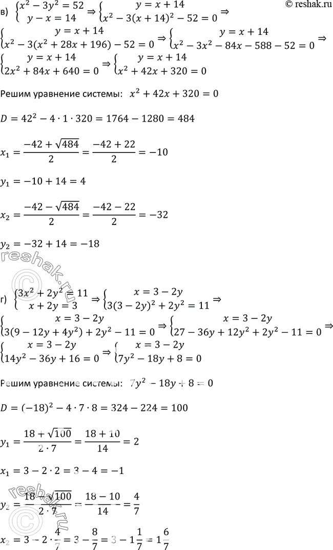
в) система
x2-3y2=52,
y-x=14;
г) система
3x2+2y2=11,
x+2y=3;
д) система
x2+y2=100,
3x=4y;
е) система
2x2-y2=32,
2x-y=8.
