Упражнение 471 ГДЗ Макарычев Миндюк 9 класс (Алгебра)
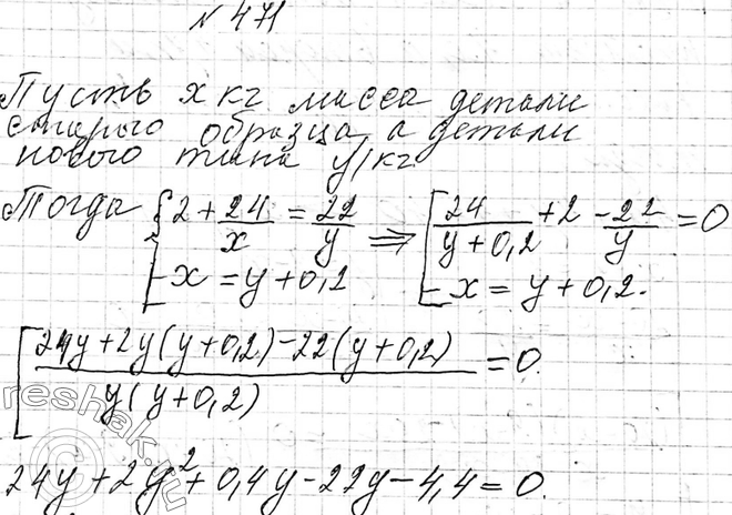
471. Рационализаторы цеха внедрили в производство усовершенствованный тип детали. Определите массу детали нового и старого типов, если известно, что деталь нового типа на 0,2 кг легче детали старого типа, причём из 22 кг металла стали делать деталей нового типа на две больше, чем делали деталей старого типа из 24 кг металла.



Ниже вариант решения задания из учебника Макарычев, Миндюк, Нешков 9 класс, Просвещение:
471. Рационализаторы цеха внедрили в производство усовершенствованный тип детали. Определите массу детали нового и старого типов, если известно, что деталь нового типа на 0,2 кг легче детали старого типа, причём из 22 кг металла стали делать деталей нового типа на две больше, чем делали деталей старого типа из 24 кг металла.
